-
Klassifiziere Fehler!
- absolut/relativ
- systematisch/stochastisch
-
Erkläre absolute und relative Fehler!
- absolut: Fehlerbehafteter Wert - richtiger Wert (wahrer Wert)
- relativ: 1. bezogen auf Messgröße 2. bezogen auf Messgerät (Messbereich)
-
Erkläre systematische und stochastische Fehler!
Nenne je zwei Beispiele!
- systematische Fehler: Fehler, die dadurch entstehen dass z.B. eine Messapparatur falsch geeicht oder Proben verunreinigt sind. Äußern sich oft in einer konstanten oder auch proportionalen Verschiebung der Messwerte, sie beeinflussen die Akkuratheit und können sich addieren oder gegenseitig aufheben
- Referenzfehler (falsche Kalibration, Verhaltensänderung durch Altern, Driften der Kaltstelle bei Thermoelementen), Methodenfehler (Querempfindlichkeiten, Gleichgewicht bei Reaktionen stellt sich nie ein [zu langsam], persönliche Fehler [Messperson])
- Stochastische Fehler: Zufällige Fehler, entstehen durch zufällige Prozesse während des Messens (z.B. thermisches Rauschen des Sensors, Quantisierungsrauschen). Zufällige Fehler beeinflussen die Präzision einer Messung und addieren sich immer
-
Was ist ein Zufallsprozess (Zufallsvariable)?
Alle Größen, deren Wert nicht genau angegeben werden kann.
-
Was ist ein Schätzverfahren?
Algorithmus um wahren Wert abzuschätzen
-
Was ist ein Schätzwert?
- der abgeschätzte Wert
- Schätzwert der Ergebnissgröße Yj wird mit Hilfe der Schätzwerte xj der Eingangsgrößen gewonnen
-
Was ist der Erwartungswert?
- Schätzwert bei unendlich vielen Abtastpunkten bzw. unendlich langer Beobachtungszeit
- Der Erwartungswert entspricht dem wahren Wert, sofern kein systematischer Fehler vorliegt.
-
Was ist die Varianz des Schätzverfahrens?
Erwartungswert der quadratischen Abweichung zwischen den Ergebnisgrößen und dem Erwartungswert
-
Wie ist der systematische Fehler definiert (Formel)?
- Systematischer Fehler Fs ist als Abweichung des wahren Wertes x vom Erwartungswert mx definiert (Bias)
- Fs=mx-x
-
Wie ist der zufällige Fehler definiert (Formel)?
- Der zufällige Fehler Fz ist die Abweichung eines bestimmten Wertes xi vom Erwartungswert mx
- Fz=xi-mx
-
Was ist die Wahrscheinlichkeitsdichteverteilung?
- Probability Density Function (PDF)
- normierte Häufigkeitsverteilung der Signalamplitude
 
-
Was ist die Wahrscheinlichkeitsverteilung?
- Drückt Wahrscheinlichkeit aus, dass die Signalamplitude kleiner gleich dem Wert x ist.

-
Was ist eine Häufigkeitsverteilung?
-
Wie sehen folgende Typen der Wahscheinlichkeitsdichteverteilungen aus?
Diskret
Rechteckig
Sinus
Gauß
-
Wie sehen folgende Funktionen und ihre Wahrscheinlichkeitsdichteverteilungen aus?
-
Wie sieht beispielsweise eine Verbundverteilungsfunktion aus?
Was gibt sie an?
 - Gibt die Korrealtion zweier Parameter an
-
Was ist die Gaußverteilung?
Formel!
-
Was ist die Normalverteilung?
-
Warum ist die Gauß-Verteilung so wichtig?
Zufallsverteilungen wie z.B. Messrauschen werden durch die Gauß-Verteilung wieder gegeben. Eine Verteilung ist dann Gauß-verteilt, wenn der betrachtete Prozess von einander unabhängigen Einflüssen überlagert wird, diese Einflüsse jedoch im Verhältnis zum Gesamtwert einen unbedeutenden Einfluss haben. Dies ist bei Messungen gegeben, die von Störeinflüssen (Umgebungseinflüsse auf Mikrofon, leichte Schwankungen im Stromnetz, etc.) verfälscht werden und als Rauschen bezeichnet werden.
-
Wie sind statistische Momente im Allgemeinen definiert (Formel)?
Welche beiden Typen werden unterschieden?
 - Anfangsmomente: f(x)=xk
- Zentralmomente: f(x)=(x-m)k
k: Ordnung
-
Was ist der Mittelwert?
Formeln für Berechnung über PDF, Zeitintegral und Diskrete Werte!
- Anfangsmoment 1. Ordnung

-
Was ist die Varianz?
Formeln für Bestimmung über PDF, Zeitintegral und Diskrete Werte!
-
Was ist das Zentralmoment 3. Ordnung?
- Normiertes Zentralmoment dritter Ordnung drück Schiefe bzw. Asymmetrie einer Verteilung aus!

-
Was ist das Zentralmoment 4. Ordnung?
- Zenralmoment vierter Ordnung drückt Flachheit oder Wölbung einer Verteilung aus!

-
Wie kann der Mittelwert abgeschätzt werden?
-
Wie kann die Varianz geschätzt werden?
 - bis N-1, da dann erwartungstreue Schätzung
-
Was ist ein Dezibel?
Berechnung?
- Bei dem dB handelt es sich um den Logarithmus des Verhältnisses zweier gleichartiger physikalischer Größen. Das dB wird heute vorwiegend für im Verhältnis stehende gleichartige Leistungs- bzw. Energiegrößen angewendet. Es gelten folgende Definitionen je nachdem, ob Leistungen (P) oder Feldamplituden (x) ins Verhältnis gesetzt werden
- Werden Leistungen ins Verhältnis gesetzt gilt: L=10lg(P_2/P_1) dB
- Werden Feldamplituden ins Verhältnis gesetzt gilt: L=20lg(x_2/x_1) dB
-
Anhand welcher 3 Merkmale kann die Qualität einer Abschätzung beuerteilt werden?
- Erwartungswert
- Varianz
- Konsistenz
-
Wie kann die Qualität einer Abschätzung im Bezug auf den Erwartungswert beurteilt werden?
- systematischer Fehler
- Wenn Erwartungswert und wahrer Mittelwert zusammenfallen ist Schätzer erwartungstreu
-
Wie kann die Qualität einer Abschätzung im Bezug auf die Varianz beurteilt werden?
- zufälliger oder stochastischer Fehler
- Varianz des abgeschätzten Wertes (Mittelwertes) ist kleiner oder gleich der Varianz des eigentlichen Signals

-
Wie kann die Qualität einer Abschätzung im Bezug auf die Konsistenz beurteilt werden?
Konvergenz
-
Was ist die Varianz der Mittelwertschätzung?
Zeige es anhand einer Druckmessung!
- Varianz der Verteilung, die sich ergibt wenn in vielen Messungen der Mittelwert bestimmt wird

-
Welcher Zusammenhang ist zwischen Anzahl der Fluktuationen pro Zeitintervall zu erkennen?
Welche Kenngröße ergibt sich hieraus?
- Wenn T in Größenordnung der Fluktuation liegt, ist Standardabw./Varianz groß
- Wenn T groß gegenüber Fluktuation ist, ist Standardabw./Varianz klein
- Integrales Zeitmaß
-
Was ist das Integrale Zeitmaß?
- Ix: Typisches Zeitmaß für Schwankungen eines Signals

-
Wie lautet die Formel für die Varianz der Mittelwertschätzung diskreter Samples?
- alle Daten müssen voneinander unabhängig sein

-
Wie lautet die Formel für die Varianz der Mittelwertschätzung kontinuiertlicher Signale?
-
Was ist die Bedingung für statistische Unabhängigkeit?
Interpretiere sie!
 - Datenwerte sind voneinander statistisch unabhängig, wenn sie zeitlich 2Ix auseinander liegen
-
Was ist die Standardmessunsicherheit?
-
Was ist die Erweiterte Messunsicherheit?
- Erweiterte Messunsicherheit U gegeben, wenn die aus dem Schätzwert y der Ergebnisgröße beigeordnete Standardmessunsicherheit u(y) mit einem Erweiterungsfaktor k multipliziert wird.
- U=k*u(y)

-
Wie wird ein Messwert korrekt angegeben?
-
Wie wird die Fehlerfortpflanzung zufälliger Fehler durchgeführt?
- Gauß'sches Fehlerfortpflanzungsgesetz

-
Wie wird die Fehlerfortpflanzung systematischer Fehler durchgeführt?
-
Was ist die GUM-Methode?
Wie läuft sie ab?
- Guide to the Expression of Uncertainty in Measurements
- 1) Identifikation aller Quellen der Messunsicherheit anhand eines Modells der Messkette
- 2) Berechnung der Standardmessunsicherheit
- 3) Berechnung der kombinierten Standardmessunsicherheit
- 4) Einrechnen des gewünschten Erweiterungsfaktors
- 5) Nennung des Ergebnisses unter Angabe des Vertrauensintervalls
-
Was sind dynamische Messfehler?
- Entstehen bei der Messung zeitlich veränderlicher Größen und sind als systematische Messfehler zu behandeln
 - Dynamische Messfehler entstehen innerhalb einer Messkette immer dann, wenn die Antwort eines betrachteten Elementes in einer Messkette (Sensor, Filter,…) zeitverzögert erfolgt
-
Was ist die Übertragunsfunktion (in der Zeitdomäne)?
- Verhältnis von Ausgangs- zu Eingangssignal

-
Wie ist die Laplace-Transformation zu berechnen?
Warum wird sie verwendet?
- Eingesetzt um die Antwort von Systemen auf Ein- und Umschaltvorgänge zu berechnen
- Überführt die Differentiation im Zeitbereich in eine Multiplikation im Bildbereich und die Integration im Zeitbereich in eine Division im Bildbereich

-
Wie sieht die Lösungsstrategie mittels Laplace-Transformation aus?
-
Wie lautet der Linearitätssatz der Laplace-Transformation?
-
Wie lautet der Differentiationssatz der Laplace-Transformation?
-
Wie lautet der Integrationssatz der Laplace-Transformation?
-
Wie lautet der Verschiebungssatz der Laplace-Transformation?
-
Was ist der Frequenzgang?
- Das Verhältnis der Amplituden von Ausgangs- zu Eingangsschwingungen ergibt den Frequenzgang

-
Was ist der Phasengang?
- Phase der Übertragungsfunktion

-
Wie sieht die Übertragungsfunktion 0. Ordnung aus?
Aus welcher Gleichung im Zeitbereich entsteht sie?
  - K - statische Empfindlichkeit
-
Wie verhält sich eine Übertragungsfunktion 0. Ordnung?
Wie sehen Frequenz- und Phasengang aus?
Nenne ein Beispiel!
- Zeigt perfektes dynamisches Verhalten, d.h. der Ausgang folgt exakt dem Eingang
 - Lineares Potentiometer
-
Wie sieht die Übertragungsfunktion 1. Ordnung aus?
Aus welcher Gleichung im Zeitbereich entsteht sie?
-
Wie verhält sich eine Übertragungsfunktion 1. Ordnung?
Wie sehen Frequenz- und Phasengang aus?
Nenne ein Beispiel!
  - Flüssigkeitsthermometer
-
Wie verhält sich eine Übertragungsfunktion 1. Ordnung?
Wie sehen Frequenz- und Phasengang aus?
Nenne ein Beispiel!
-
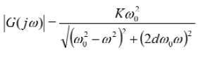
Wie verhält sich eine Übertragungsfunktion 2. Ordnung?
Wie sehen Frequenz- und Phasengang aus?Nenne ein Beispiel!
|
|